• Предмет: Алгебра
  • Автор: romakim2003
  • Вопрос задан 8 лет назад

Найти производную, буду благодарен за помощь.

Приложения:

Ответы

Ответ дал: Miroslava227
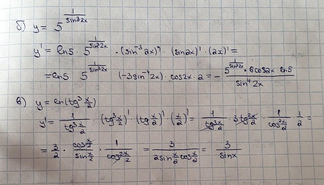
2

Ответ:

решение на фотографии.

Приложения:
Ответ дал: NNNLLL54
1

Ответ:

1)\ \ y=ln\Big(tg^3\frac{x}{2}\Big)\ \ ,\qquad \qquad (lnu)'=\dfrac{1}{u}\cdot u'\ ,\ u=tg^3\dfrac{x}{2}\ ,\\\\\displaystyle y'=\frac{1}{tg^3\frac{x}{2}}\cdot 3\, tg^2\frac{x}{2}\cdot \frac{1}{cos^2\frac{x}{2}}\cdot \frac{1}{2}=\frac{3}{2\, tg\frac{x}{2}\cdot cos^2\frac{x}{2}}=\frac{3}{2sin\frac{x}{2}\cdot cos\frac{x}{2}}=\frac{3}{sinx}

2)\ \ \displaystyle y=5^{\frac{1}{sin^32x}}\ \ ,\qquad \qquad (5^{u})'=5^{u}\cdot ln5\cdot u'\ ,\ u=\frac{1}{sin^32x}\ ,\\\\\\y'=5^{\frac{1}{sin^32x}}\cdot ln5\cdot \frac{-3\, sin^22x\cdot cos2x\cdot 2}{sin^62x}=-5^{\frac{1}{sin^32x}}\cdot ln5\cdot \frac{6\, cos2x}{sin^42x}

Вас заинтересует