• Предмет: Математика
  • Автор: viktoriyaa248
  • Вопрос задан 8 лет назад

Помогите пожалуйста

Приложения:

Ответы

Ответ дал: ssroman72
1

Ответ:

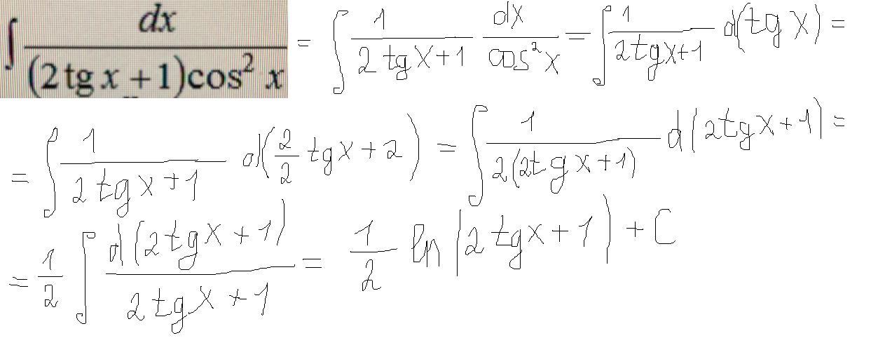
ответ с решением на картинке

Пошаговое объяснение:

Приложения:

ssroman72: В выражение после 3-го равно есть маленькое неточность
ssroman72: выражение интеграл(1/(2tgx+1)d(2/2tgx+2) заменить на выражение интеграл(1/(2tgx+1)d(2/2tgx+1/2), то есть "2" заменить на "1/2" так правильнее будет
Вас заинтересует