Ответы
Ответ дал:
0
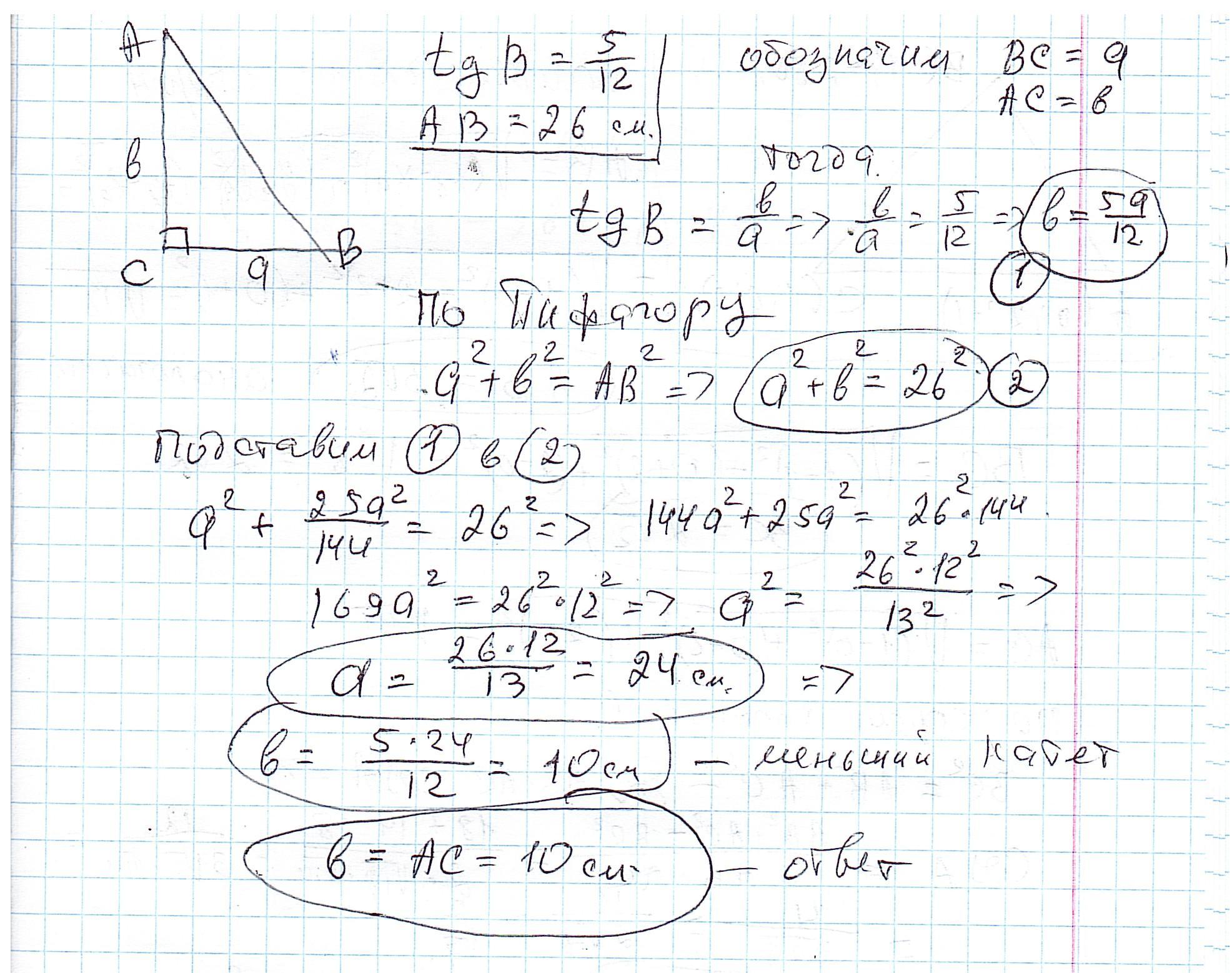
Ответ: 10 см
Объяснение:
во вложении
Приложения:

Вас заинтересует
2 года назад
2 года назад
3 года назад
3 года назад
9 лет назад