• Предмет: Геометрия
  • Автор: НеТвойХикка14
  • Вопрос задан 8 лет назад

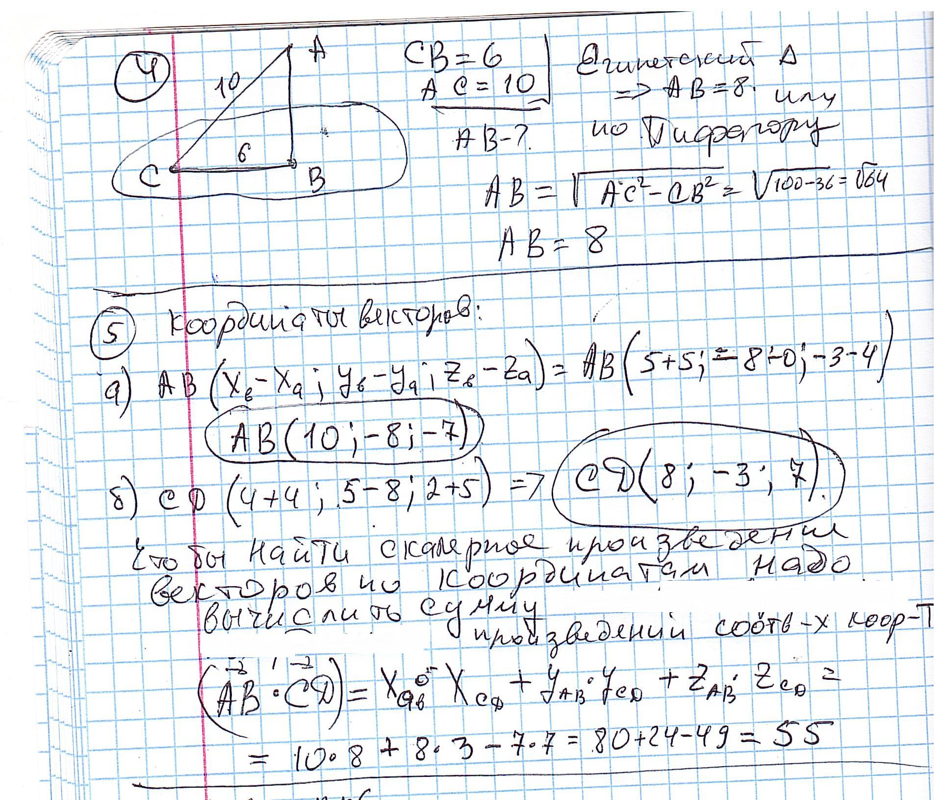
Решите пожалуйста, все на фото.

Приложения:

Ответы

Ответ дал: ужнеужели
1

Ответ:

Объяснение:

во вложении

Приложения:
Вас заинтересует