• Предмет: Математика
  • Автор: gehitif445
  • Вопрос задан 8 лет назад

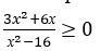
решите неравенство ДАЮ 30 БАЛЛОВ

Приложения:

Ответы

Ответ дал: blacka99912
1

Ответ:

Х Є (- бесконечность; -4) U [-2, 0] U (4;+ бесконечность)

Пошаговое объяснение:

Вас заинтересует