Ответы
Ответ дал:
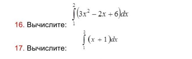
1
Ответ:
Пошаговое объяснение:
…….
Приложения:

Вас заинтересует
2 года назад
3 года назад
8 лет назад