• Предмет: Физика
  • Автор: dicklord
  • Вопрос задан 8 лет назад

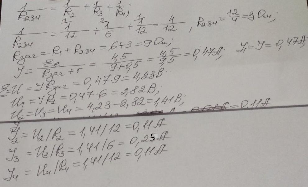
формулы для каждое неизвестное под данные случаи

Приложения:

Ответы

Ответ дал: vladykar9
1

Відповідь:

Пояснення:

Приложения:
Вас заинтересует