• Предмет: Алгебра
  • Автор: Аноним
  • Вопрос задан 8 лет назад

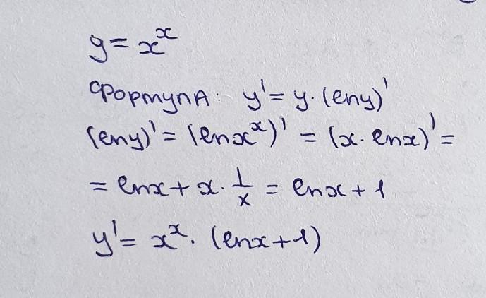
Найти производную (x^{x})'

Ответы

Ответ дал: Miroslava227
0

Ответ:

решение на фотографии.

Приложения:
Вас заинтересует