Ответы
Ответ дал:
0
Ответ:
Пошаговое объяснение:
!!!!!!!!!!!!!!!!!!!!!!!
Приложения:

Ответ дал:
0
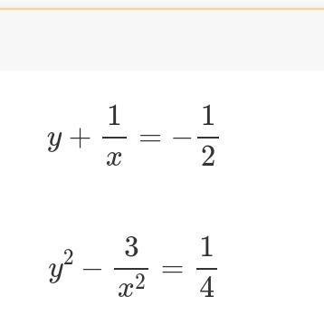
Ответ:
(2; -1)
Пошаговое объяснение:
Возведём второе уравнение в квадрат:
Правые части полученного уравнения и второго уравнения исходной системы равны, значит, левые тоже равны:
Подставим y в первое уравнение:
Решением будет пара (2; -1)
Вас заинтересует
2 года назад
2 года назад
9 лет назад