• Предмет: Математика
  • Автор: niceguy0
  • Вопрос задан 8 лет назад

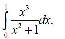
Вычислить определенный интеграл 70 баллов

Приложения:

Ответы

Ответ дал: LymarIvan
1

Ответ:

0,5×(1-ln2)

Пошаговое объяснение:

\int\limits^1_0 {\frac{x^3}{x^2+1} } \, dx =\int\limits^1_0 {x-\frac{x}{x^2+1} } \, dx=\begin{Vmatrix}d(x^2+1)=2xdx\end{Vmatrix} =\int\limits^1_0 {x} \, dx -\frac{1}{2}\int\limits^1_0 {\frac{2x}{x^2+1} }\,dx = \int\limits^1_0 {x} \, dx -\frac{1}{2}\int\limits^1_0 {\frac{d(x^2+1)}{x^2+1} } \,  =\frac{x^2}{2}  \bigg|_0^1-\frac{1}{2}\ln|x^2+1| \bigg|_0^1=\frac{1^2}{2}-\frac{0^2}{2}-  \frac{1}{2}\ln|1^2+1|+\frac{1}{2}\ln|0^2+1|=\frac{1}{2}-\frac{1}{2}\ln 2+\frac{1}{2}\ln 1=\frac{1}{2}(1-\ln 2)

Вас заинтересует