• Предмет: Математика
  • Автор: niceguy0
  • Вопрос задан 8 лет назад

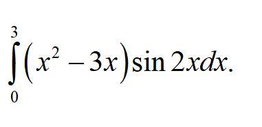
Вычислить определенный интеграл 70 баллов

Приложения:

Ответы

Ответ дал: Miroslava227
0

Ответ:

Берем по частям:

u =  {x}^{2}  - 3x \:  \:  \:  \: du = (2x - 3)dx \\ dv =  \sin(2x) dx \:  \:  \:  \: v =  -  \frac{1}{2}  \cos(2x)  \\  \\ ( {x}^{2} -  3x) \times ( -  \frac{1}{2} ) \cos(2x) | ^{3}_{0} + \int\limits^{3}_{0} \frac{2x - 3}{2}  \cos(2x) dx =  \\ =  -  \frac{ {x}^{2} - 3x }{2}  \cos(2x) | ^{3}_{0}  + \frac{1}{2} \int\limits^{3}_{0}(2x - 3) \cos(2x) dx \\  \\ u = 2x - 3 \:  \:  \: du = 2dx \\ dv =  \cos(2x) dx \:  \:  \: dv =   \frac{1}{2}  \sin(2x)  \\  \\  -  \frac{ {x}^{2} - 3x }{2}  \cos(2x) | ^{3}_{0} +  \frac{1}{2} ( \frac{2x - 3}{2}  \sin(2x) | ^{3}_{0} - \int\limits^{3}_{0} \sin(2x) ) =  \\  = ( -  \frac{ {x}^{2}  - 3x}{2}  \cos(2x)  +  \frac{2x - 3}{4}  \sin(2x)  +  \frac{1}{4}  \cos(2x) )| ^{3}_{0} =  \\  =  (\frac{ - 2 {x}^{2}  + 6x + 1}{4}  \cos(2x)  +  \frac{2x - 3}{4}  \sin(2x) )| ^{3}_{0} =  \\  =  \frac{ - 18 + 18 + 1}{4}  \cos(6)  +  \frac{6 - 3}{4}  \sin(6)  - ( \frac{1}{4}  \cos(0)   -  \frac{3}{4}  \sin(0))  =  \\  =  \frac{1}{4}  \cos(6)  +  \frac{3}{4}  \sin(6)  -  \frac{1}{4}  =  \frac{ \cos(6) + 3 \sin(6)  - 1 }{4}

Вас заинтересует