• Предмет: Геометрия
  • Автор: Elnаrа
  • Вопрос задан 11 лет назад

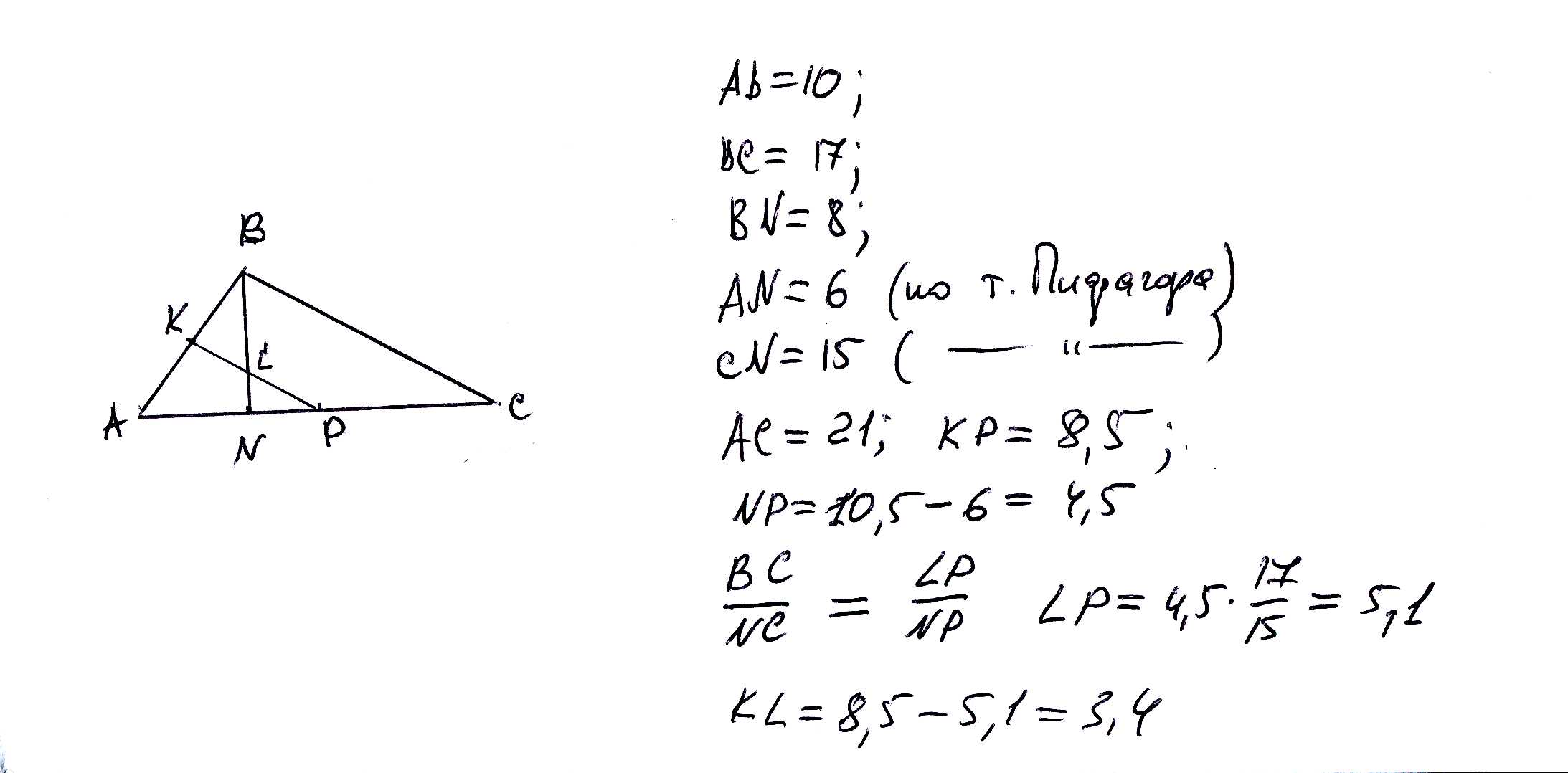
Две стороны треугольника равны 10 см и 17 см, а высота, проведенная из вершины угла между ними, равна 8 см. Найдите отрезки на которые эта высота делит среднюю линию, пер...(дальше лист не пропечатан там одно или два слова)

Ответы

Ответ дал: cos20093
0

Считаем, что это средняя линяя, параллельная стороне 17.

Дальше - в прикрепленном файле.

 

 

Приложения:
Вас заинтересует