И ещё с одним вопросом помогите, пожалуйста, первый не надо
(Ответы без объяснения удаляются)
Приложения:

Аноним:
Ну писать уже некуда. Сейчас посмотрим, что напишет второй отвечающий.
Ответы
Ответ дал:
1
Ответ:
-0.2
Объяснение:
Сначала найдём сумму 1-го члена прогрессии, которая будет равна самому первому члену.
Теперь найдём сумму первых двух членов прогрессии, и отнимем от неё первый член прогрессии, чтобы найти второй член прогрессии.
Теперь найдём разность прогрессии:
Найдём четвёртый член по формуле n-го члена:
Ответ дал:
1
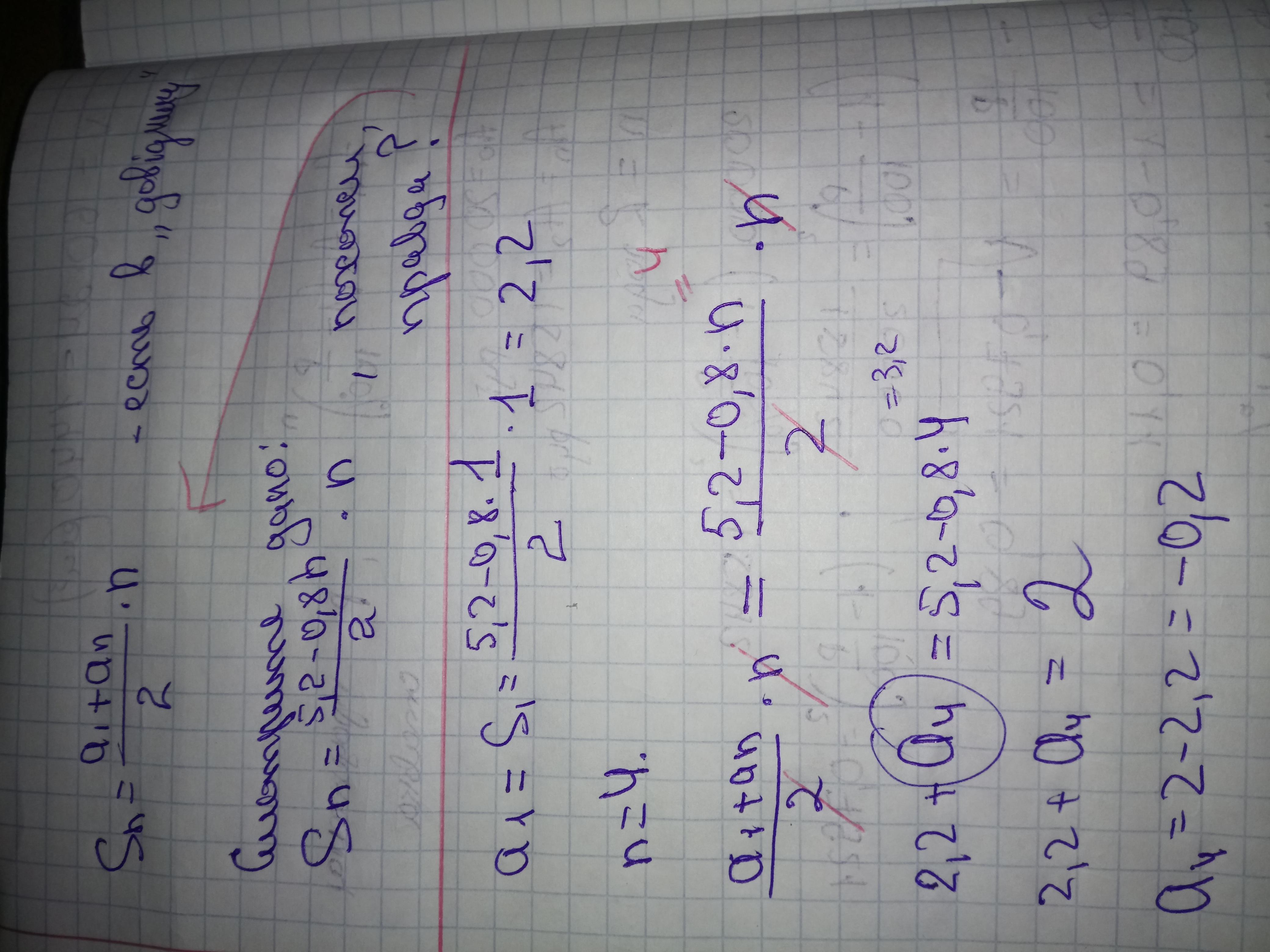
Відповідь: - 0,2
Пояснення:
Фото
Приложения:

Вас заинтересует
2 года назад
3 года назад
8 лет назад
8 лет назад
9 лет назад