спрости вираз

поможіть
ДжинXо:
а^2/а+3-9/а+3; знаменатели взаимно уничтожаются, при этом остаётся а^2-9; избавляемся от квадрата: а-3
Ответы
Ответ дал:
1
Ответ:
a-3
Пошаговое объяснение:
a²/(a+3) - 9/(a+3) =
= (a²-9)/(a+3) =
= (a²-3²)/(a+3) =
= (a-3)*(a+3)/(a+3) =
= a-3
Ответ дал:
2
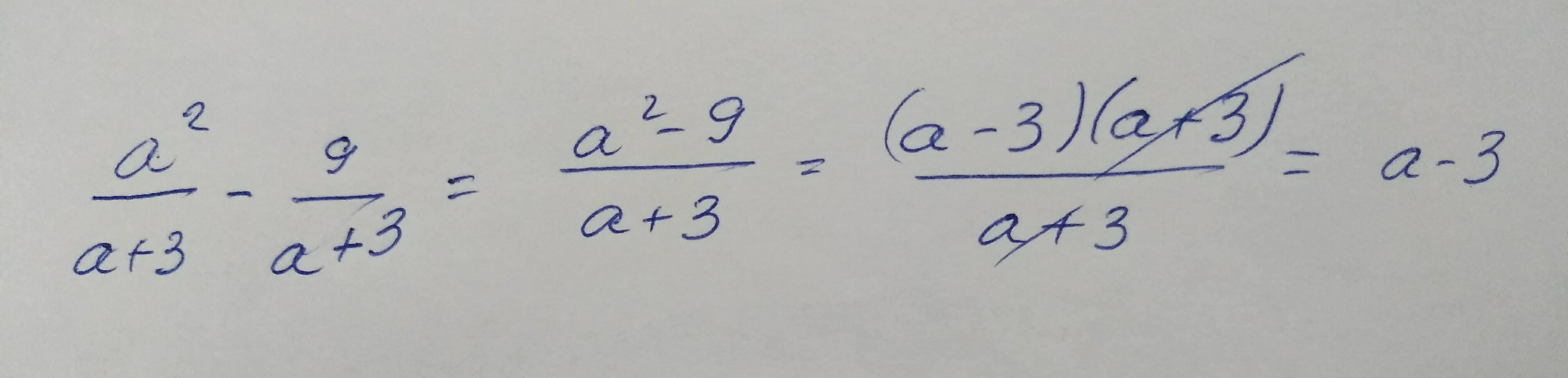
Ответ:
а-3
Пошаговое объяснение:
Приложения:

Вас заинтересует
2 года назад
3 года назад
3 года назад
8 лет назад
9 лет назад
9 лет назад