• Предмет: Математика
  • Автор: udhehdjdjd
  • Вопрос задан 8 лет назад

ОЧЕНЬ СРОЧНО!!!!ПОМОГИТЕ ПОЖАЛУЙСТА!!!ДАЮ 35 БАЛЛОВ

Приложения:

Ответы

Ответ дал: xacku2020
0

Ответ:

↓↓↓

Пошаговое объяснение:

Решим поотдельности и найдем пересечение

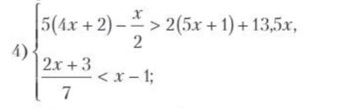
1)5(4x+2)-x\2>2(5x+1)+13,5x

20x+10-0,5x>10x+2+13,5x

20x-0,5x-10x-13,5x>2-10

-4x>-8 |:(-4)<0

x<2

2) \frac{2x+3}{7} &lt;x-1 |*7

2x+3<7x-7

-5x<-10 |:(-5)<0

x>2

 

3) \\\\\\\\\\\\\\\\(2)//////////////// Пересечения штриховок нет  

Ответ  ∅

Вас заинтересует