• Предмет: Математика
  • Автор: hfyijftuj
  • Вопрос задан 8 лет назад

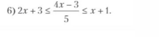
СРОЧНО ПОЖАЛУЙСТА!!!РЕШИТЕ НЕРАВЕНСТВО!!!ДАЮ 35 БАЛЛОВ

Приложения:

Ответы

Ответ дал: xacku2020
1

Ответ:

x∈[-8 ;-3]

Пошаговое объяснение:

умножим все три части на 5

5(2x+3)≤4x-3≤5(x+1)

1) 5(2x+3)≤4x-3

10x+15≤4x-3

6x≤-18

x≤-3

2)4x-3≤5(x+1)

4x-3≤5x+5

-x≤8   |*(-1)<0

x≥-8

3)\\\\\\\[-8]XXXXXXXX[-3]//////////     x∈[-8 ;-3]

Ответ дал: Naro4Ka2021
0

Ответ:

х∈ [ -8; -3]

Пошаговое объяснение:

2x+3≤(4x-3)/5 ≤x+1

5(2x+3)≤4x-3≤5(x+1)

10x+15≤4x-3≤5x+5

10x+15≤4x-3

10x-4x≤ -3-15

6x≤ -18

x≤ -3

4x-3≤5x+5

4x-5x≤5+3

-x≤8  

x≥ -8    

_______[-8]__________[3]______________

                  ''''''''''''''''''''''''''''''''

х∈[ -8; -3]

Вас заинтересует