помогите решить интеграл ,пожалуйста
Приложения:

mathgenius:
Просто подсказал какую тему нужно прочесть. Метод МНК
Ответы
Ответ дал:
3
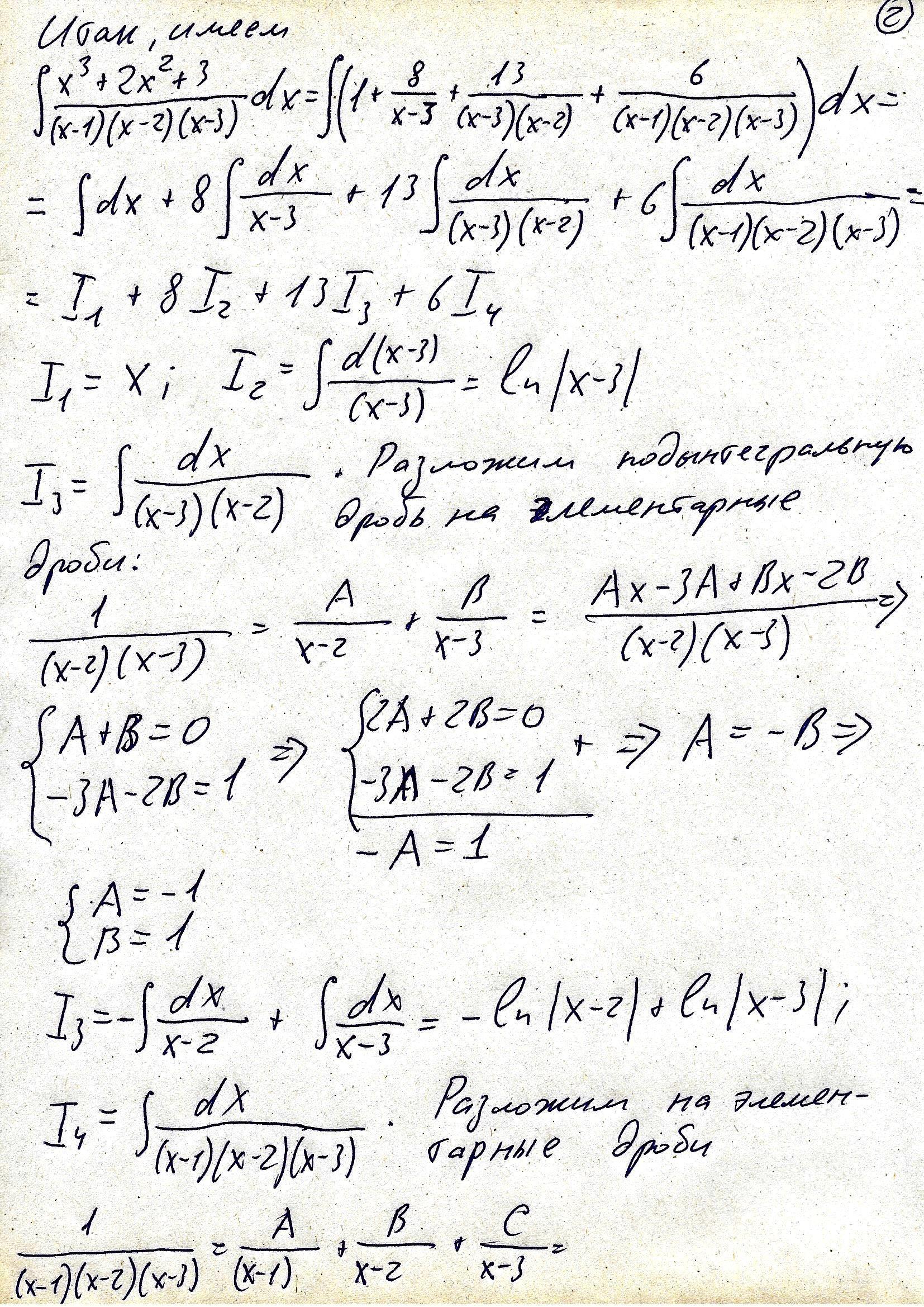
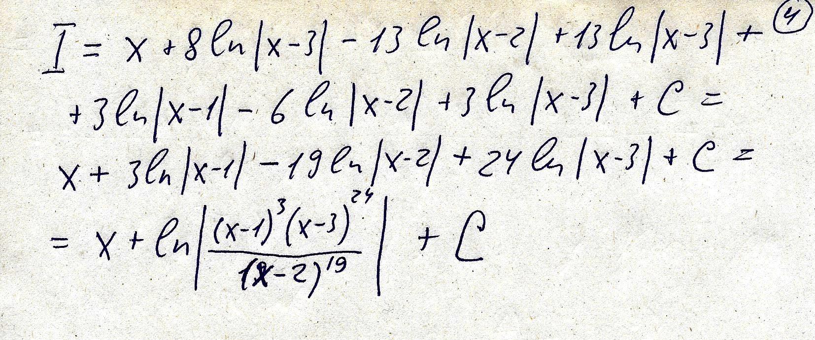
Ответ:
Пошаговое объяснение:
//////////////////////////////////////////
Приложения:




Ответ дал:
2
Ответ:
Пошаговое объяснение:
применим деление многочленов столбиком и получим
теперь в первом интеграле разложим дробь на простейшие
дальше уже почти табличные интегралы
Вас заинтересует
2 года назад
2 года назад
3 года назад
3 года назад
8 лет назад
9 лет назад