• Предмет: Алгебра
  • Автор: daniilkolysov
  • Вопрос задан 8 лет назад

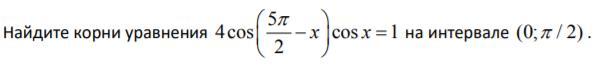
Задание указано на фото

Приложения:

Ответы

Ответ дал: dobra888
0

Ответ:

Объяснение:

4cos( 5π/2 - x )cosx = 1 ;

4cos( 2π + π/2 - x )cosx = 1 ;

4cos( π/2 - x )cosx = 1 ;

4sinxcosx = 1 ;

2sinxcosx = 1 /2 ;

sin2x = 1 /2 ;

2x = ( - 1 )ⁿ π/6 + πn , nЄ Z ;

x =  ( - 1 )ⁿ π/12 + πn/2 , nЄ Z ;  відбираємо корені з проміжка ( 0 ; π/2 ) :

при n = 0 , x =  π/12 Є ( 0 ; π/2 ) ;

       n = -1, x = - 7π/12 ∉ ( 0 ; π/2 ) ;

      n = 1 , x = 5π/12 Є ( 0 ; π/2 ) ; при наступних значеннях n  x ∉( 0 ; π/2 ) .  

Вас заинтересует