• Предмет: Алгебра
  • Автор: ohshitherewegoagainn
  • Вопрос задан 8 лет назад

Решение уравнений высших степеней, сводящихся к квадратным.
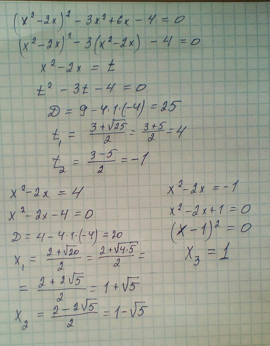
1) (х^2-2х)^2-3х^2+6х-4=0
2) (2х^2+3х-1)^2-10х^2-15х+9=0
Помогите решить!​

Ответы

Ответ дал: m11m
1

Ответ:

Объяснение:

!!!!!!!!!!!!!!!!!!!!

Приложения:

Аноним: помогите пожалуйста
olhadyachina: Здравствуйте, m11m. Помогите пожалуйста по алгебре. Заранее очень сильно благодарю!!!!!!! https://znanija.com/task/45123968
Ответ дал: ivan48367
1

Ответ:

.........................................................

Приложения:

olhadyachina: Здравствуйте, Ivan48367. Помогите пожалуйста по алгебре. Заранее очень сильно благодарю!!!!!!! https://znanija.com/task/45123968
Вас заинтересует