Ответы
                                            Ответ дал: 
                                                                                    
                                        
                                            
                                                
                                                
                                                
                                                    4
                                                
                                            
                                        
                                    Ответ:
-4; -1; 1; 4
Пошаговое объяснение:
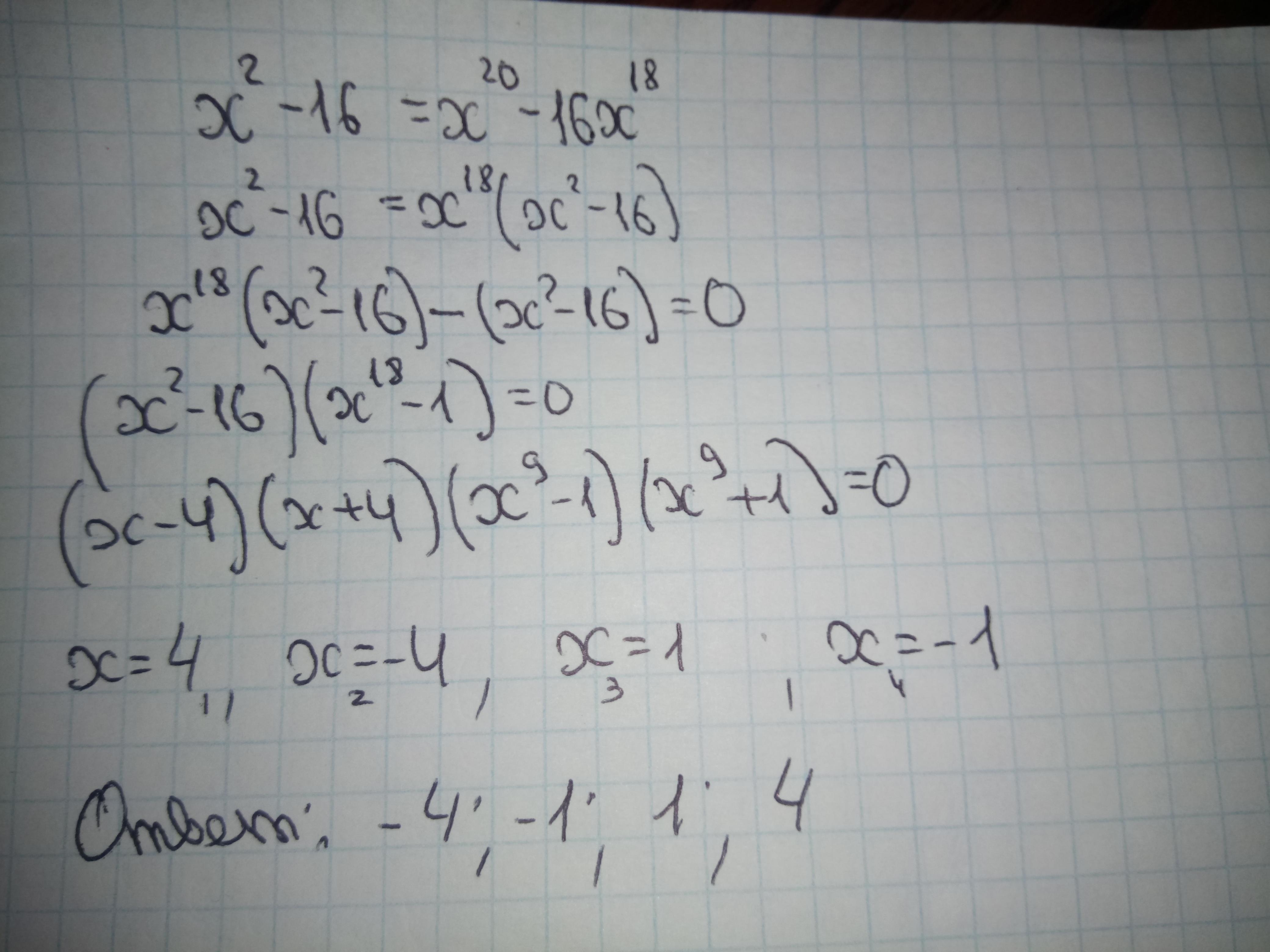
x² - 16 = x²⁰ - 16x¹⁸
(x - 4)(x + 4) = x¹⁸ * (x - 4)(x + 4)
(x - 4)(x + 4) - x¹⁸ * (x - 4)(x + 4) = 0
(1 - x¹⁸)(x - 4)(x + 4) = 0
Продолжение на фото
Приложения:
                     
                            
                                            Ответ дал: 
                                                                                    
                                        
                                            
                                                
                                                
                                                
                                                    0
                                                
                                            
                                        
                                    Решение задания прилагаю
Приложения:
                     
                            Вас заинтересует
                
                        2 года назад
                    
                
                        2 года назад
                    
                
                        3 года назад
                    
                
                        3 года назад
                    
                
                        8 лет назад
                    
                
                        8 лет назад
                    
                
                        9 лет назад
                    
                
                        9 лет назад