• Предмет: Алгебра
  • Автор: Аноним
  • Вопрос задан 8 лет назад

помогите пожалуйста 1) 3)​

Приложения:

Ответы

Ответ дал: Orangesss
0

Ответ:

1)\ \bigg(\dfrac{1}{3}\bigg)^{-1} * 10 = 3*10=30.\\\\3)\ 3^3*10^{-1} =27*\dfrac{1}{10^} = \dfrac{27}{10} = 2,7.

Объяснение:

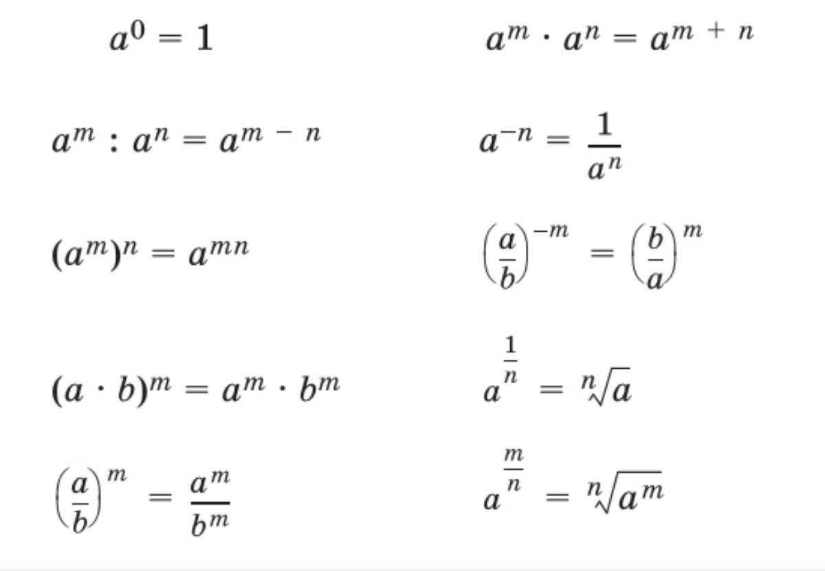
Смотрите формулы!

Приложения:
Вас заинтересует