Ответы
Ответ дал:
3
Ответ:
Объяснение:
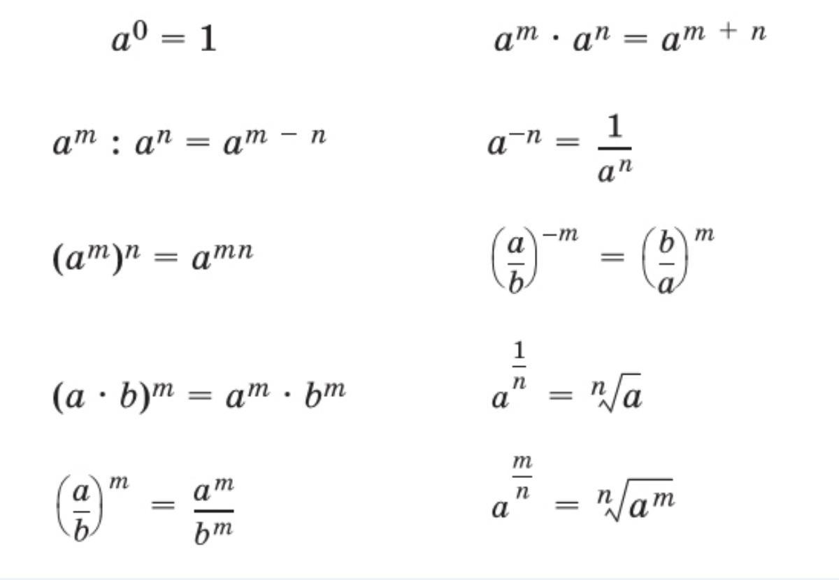
Смотрите формулы.
Приложения:

Аноним:
у вас во втором ошибка: там степень не 3, а -3
Вас заинтересует
2 года назад
3 года назад
8 лет назад
8 лет назад
9 лет назад