• Предмет: Математика
  • Автор: Аноним
  • Вопрос задан 8 лет назад

please help yoooooooooo​

Приложения:

Ответы

Ответ дал: sergeybasso
1

Ответ:

√3

Пошаговое объяснение:

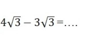
4\sqrt{3} -3\sqrt{3} =(4-3)\sqrt{3} =\sqrt{3} ≈ 1.73


Аноним: b.√7
Аноним: c.√3
Аноним: d.2√6
Аноним: e.7√6
Аноним: yayang which one is right?
Аноним: *which one?
sergeybasso: what do you think?
Аноним: tf?
Аноним: this question has multiple choice
Аноним: oh yeah i got it
Вас заинтересует