Ответы
Ответ дал:
1
Ответ:
1) в
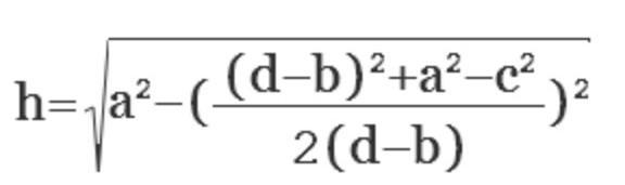
формула на фотке
2) г
дальше не понимаю перевод напишу решение отправлю
Приложения:

Вас заинтересует
2 года назад
3 года назад
3 года назад
8 лет назад
8 лет назад