Ответы
Ответ дал:
2
Ответ:
Пошаговое объяснение:
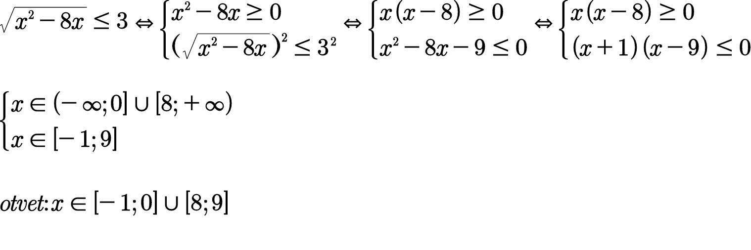
Решение оформлено в приложении
MathMagic
Приложения:

Вас заинтересует
2 года назад
2 года назад
3 года назад
3 года назад
8 лет назад
9 лет назад
9 лет назад