• Предмет: Алгебра
  • Автор: ajax1332
  • Вопрос задан 8 лет назад

В один и тот же час навстречу друг другу должны были выйти А из поселка М и В из поселка N. Однако А задержался и вышел позже на 6 ч. При встрече выяснилось, что А прошел на 12 км меньше, чем В. Отдохнув, они одновременно покинули место встречи и продолжили путь с прежней скоростью. В результате А пришел в N через 8 ч, а В пришел в М через 9 ч после встречи. Определить расстояние MN и скорости пешеходов.

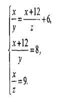
Решая, находя z получаются отрицательные значения, так быть не должно.

Приложения:

ajax1332: Из третьего уравнения выражаю x = 9z
ajax1332: Из второго y = (x + 12)/ 8 <==> y = (9z + 12)/ 8 ., Затем подставляю эти значения в первое уравнение.
ajax1332: Кто-либо ответит на вопрос: почему в заданной системе получаются отрицательные значения, так быть не должно не бывает отрицательных расстояний и скоростей, кто не прав, я или тот, кто эту систему составил?
guvanch021272: первое уравнение системы не верное
guvanch021272: x/y - время которое затратил пешеход А до места встречи
guvanch021272: (x+12)/z-время которое затратил пешеход В до места встречи что больше на 6 часов чем (x+12)/z
guvanch021272: (x+12)/z-время которое затратил пешеход В до места встречи что больше на 6 часов чем x/z
guvanch021272: Значит нужно вычесть 6, а не прибавлять
guvanch021272: Один пост с опечаткой. Переправлен
guvanch021272: (x/y)+6=(x+12)/z

Ответы

Ответ дал: guvanch021272
1

Ответ:

Скорости пешеходов 6 км/час и 4 км/час, MN=84 км

Объяснение:

Пусть пешеходы встретились в некой точке С через t часов после начала движения пешехода А.

Скорость пешехода А - v₁ км/час

Скорость пешехода B - v₂ км/час

MC=9v₂ или же MC=tv₁⇒9v₂=tv₁⇒v₂/v₁=t/9

NC=6v₂+tv₂ или же NC=8v₁⇒6v₂+tv₂=8v₁⇒v₂/v₁=8/(6+t)

t/9=8/(6+t)

t(6+t)=72

t²+6t-72=0

t²+12t-6t-72=0

t(t+12)-6(t+12)=0

(t+12)(t-6)=0, t>0⇒t=6

12=NC-MC=8v₁-tv₁=8v₁-6v₁=2v₁⇒v₁=6 км/час

v₂=v₁t/9=36/9=4 км/час

MN=MC+NC=9v₂+8v₁=36+48=84 км


ajax1332: А с той системой что не так, возможно ли, что в условии ошибка, хотя вроде бы всё верно.
guvanch021272: Не знаю, так как не понимаю как составлена система. Напиши объяснение ввода переменных
ajax1332: Путь x км. расстояние от M до места встречи. Путь (x + 12) км. расстояние от N до места встречи. Тогда расстояние между M и N равно 2x + 12 км. Пусть y км/ч скорость пешехода A., z км/ч - скорость пешехода B.
ajax1332: Так ведётся рассуждение.
ajax1332: Вот один из вариантов решения: https://radikal.ru/users/AnDrEY_K_
ajax1332: Объяснение написал, но разве для решения системы оно сильно нужно, если только для того, чтобы проверить правильность составления. Или я не прав?
guvanch021272: Указанный вариант решения ( https://radikal.ru/users/AnDrEY_K_) не верен. Автор понял ошибку и подогнал решение чтобы получился положительное решение. Но исправил не тот плюс на минус
ajax1332: Да, спасибо, понял.
Вас заинтересует