• Предмет: Алгебра
  • Автор: antonovm
  • Вопрос задан 8 лет назад

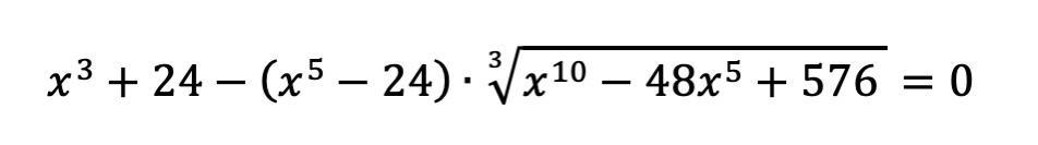
Решите уравнение : .........................

Приложения:

yugolovin: Поскольку очередь на написания решения не выстроилась, напишу решение сам, тем более, что кроме недавно встречавшегося метода решения уравнений вида f(f(x))=x, здесь требуется еще некоторое исследование получающегося уравнения пятой степени.

Ответы

Ответ дал: yugolovin
3

Сначала приведем стандартное доказательство равносильности уравнений

f(f(x))=x и f(x)=x, если известно дополнительно, что f(x) - монотонно возрастающая функция (на самом деле доказательство проходит и в случае уравнений f(f(f(...(f(x))...)))=x и f(x)=x).

Если f(x_0)=x_0, то f(f(x_0))=f(x_0)=x_0, то есть все решения второго решения являются решениями первого.

Если f(f(x_0))=x_0, то f(x_0)=x_0. В самом деле, если f(x_0)<x_0 (или

f(x_0)>x_0), то f(f(x_0))<f(x_0)<x_0 (или соответственно

f(f(x_0))>f(x_0)>x_0). В этом месте доказательства мы и использовали монотонное возрастание функции. Поэтому все решения первого уравнения являются решениями второго. Итак, равносильность уравнений доказана.

Переходим к конкретному уравнению. Преобразуем его:

x^3+24=(\sqrt[3]{x^5-24})^5;\ \sqrt[5]{x^3+24}=\sqrt[3]{x^5-24};\ (\sqrt[5]{x^3+24})^3+24=x^5;

\sqrt[5]{(\sqrt[5]{x^3+24})^3+24}=x.

Если рассмотреть функцию f(x)=\sqrt[5]{x^3+24}, то уравнение может быть записано в виде f(f(x))=x, а поскольку функция f(x) монотонно возрастающая, уравнение равносильно уравнению f(x)=x, то есть\sqrt[5]{x^3+24}=x;\ x^3+24=x^5;\ x^5-x^3-24=0. Чтобы было проще в дальнейшем, докажем, что это уравнение не имеет отрицательных корней. В самом деле, если x∈[-1;0], то "побеждает" 24. Иными словами, левая часть отрицательна, корней на этом отрезке быть не может. Если x∈(-∞;-1), то |x^5|>|x^3|, и поэтому x^5-x^3<0\Rightarrow x^5-x^3-24<0.

Далее: угадываем корень x=2( искали естественно среди делителей свободного члена), делим многочлен на x-2 и получаем уравнение

x^4+2x^3+3x^2+6x+12=0, которое не может иметь положительных корней в силу положительности всех коэффициентов, и не может иметь отрицательных корней, так как иначе исходное уравнение имело бы отрицательные корни, а мы доказали, что их нет.

Ответ: 2


antonovm: Класс ! Немного по - другому решал : x^4 + 2x^3 + 3x^2 +6x +12 = (x^2 + x) ^2 + 2 (x^2 +3x +6) , первое слагаемое неотрицательно , а второе положительно , значит сумма всегда положительна
antonovm: и ещё уравнения f (f(x)) = x при возрастающей f равносильно f (x) = f ^(-1) (x) , а графики монотонных обратных функций могут иметь общие точки только на прямой y = x и получается то же уравнение f(x) = x , то есть можно уравнение привести к виду f (x) = f ^(-1) (x) и сослаться на симметрию графиков обратных функций
antonovm: монотонных и возрастающих ( исправляю неточность )
yugolovin: Да, Вы правы про f(x)=f^(-1)(x), но визуально это труднее заметить.
yugolovin: Про монотонно возрастающую функцию - я всю жизнь говорил так и думаю, что никогда это не приводило к неправильному пониманию))
Вас заинтересует