Ответы
Ответ дал:
1
Ответ:
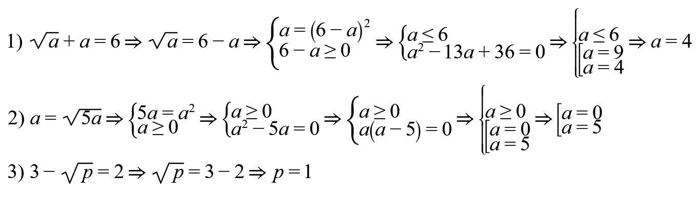
1)a=4
2)a={0;5}
3) p=1
Пошаговое объяснение:
//////////////////////
Приложения:

Вас заинтересует
2 года назад
2 года назад
3 года назад
3 года назад
8 лет назад
8 лет назад
9 лет назад