Ответы
Ответ дал:
0
Ответ:
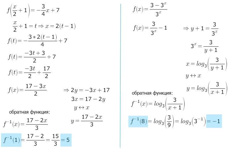
обратная функция
обратная функция
LFP:
F^(-1) -это обозначение обратной функции... и это НЕ= 1/F(х)
Ответ дал:
1
Ответ: 21) 5 ; 22) -1
Объяснение: в файле...
Приложения:

Вас заинтересует
2 года назад
2 года назад
3 года назад
8 лет назад
8 лет назад
9 лет назад
9 лет назад