• Предмет: Математика
  • Автор: lunnaiapoxodka6
  • Вопрос задан 8 лет назад

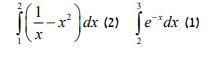
Рассмотреть следующие конкретные интегралы:

Приложения:

Ответы

Ответ дал: dobra888
1

Ответ:

.............llllllll..................

Пошаговое объяснение:

1 ) ∫₁²( 1/х -х² )dх = (ln| x | - x³/3 )│₁² = ( ln| 2 | - 2³/3 ) - ( ln| 1 | - 1³/3 ) = ln2 - 2 /2/3 -

- ln1 + 1/3 = ln2 - 2 1/3 ;

2) ∫₂³ e⁻ˣdx = - e⁻ˣ │₂³ = - e⁻³ + e⁻² = 1/e² - 1/e³ = ( e³ - e²)/e³ = e³/e³ - e²/e³ = 1 - e⁻¹ .

Вас заинтересует