• Предмет: Математика
  • Автор: vorobey82
  • Вопрос задан 8 лет назад

ПОЖАЛУЙСТА .СИСТЕМА УРАВНЕНИЙ .МОЖНО РЕШИТЬ НЕ ВСЁ. ЗАДАНИЕ НА ФОТО ​

Приложения:

Ответы

Ответ дал: Аноним
1

Ответ:

Пошаговое объяснение:

Системы уравнений:

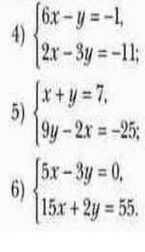
4) 6x-y=-1

2x-3y=-11                      |×3

6x-y=-1

6x-9y=-33

6x-y-6x+9y=-1+33

8y=32

y=32/8; y=4

6x-4=-1

6x=-1+4

x=3/6; x=1/2; x=0,5

Ответ: (0,5; 4).

5) x+y=7

9y-2x=-25

9y-2x+x+y=-25+7

10y-x=-18

x=10y+18

10y+18+y=7

11y=7-18

y=-11/11; y=-1

9·(-1)-2x=-25

2x=25-9

x=16/2; x=8

Ответ: (8; -1).

6). 5x-3y=0                  

15x+2y=55

15x+2y+5x-3y=55+0

20x-y=55

y=20x-55; y=5(4x-11)

15x+2·5(4x-11)=55

15x+40x-110=55

55x=55+110

x=165/55; x=3

5·3-3y=0

3y=15

y=15/3; y=5

Ответ: (3; 5).


vorobey82: благодарю!!
Ответ дал: iramazurk
1

Ответ:

Пошаговое объяснение:

4.

6х - у = -1

2х - 3у = -11

Решим систему методом сложения:

8х - 4у = -12

6х - у = -1

8х - 4у = -12

у = 6х - (-1)

8х - 4у = -12

у = 6х + 1

1)

8х - 4у = -12

8х - 4(6х + 1) = -12

8х - 24х - 4 = -12

8х - 24х = -12 + 4

-16х = -8

х = -8 : (-16)

х = 8/16

х = 1/2

2)

у = 6х + 1

у = 6*1/2 + 1

у = 6/2 + 1

у = 3 + 1

у = 4

Ответ: (1/2; 4)

5.

х + у = 7

9у - 2х = -25

Решим систему методом подстановки:

х = 7 - у

9у - 2x = -25

1)

9y - 2x = -25

9y - 2(7 - y) = -25

9y - 14 + 2y = -25

9y + 2y = -25 + 14

11y = -11

y = -11 : 11

y = -1

2)

x = 7 - y

x = 7 - (-1)

x = 7 + 1

x = 8

Ответ: (8; -1)

6.

5х - 3у = 0

15х + 2у = 55

Решим систему методом сложения:

20х - у = 55

5х - 3у = 0

у = 20х - 55

5х - 3у = 0

1)

5х - 3у = 0

5х - 3(20х - 55) = 0

5х - 60х + 165 = 0

5х - 60х = 0 - 165

-55х = -165

х = -165 : (-55)

х = 3

2)

у = 20х - 55

у = 20*3 - 55

у = 60 - 55

у = 5

Ответ: (3; 5)

Вас заинтересует