Ответы
Ответ дал:
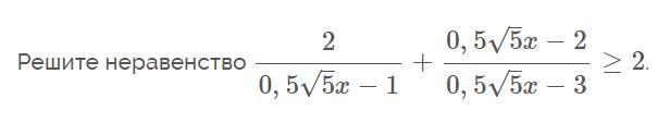
2
Знаменатель не равен нулю 0,5√5*x-1≠0 и 0,5√5*x-3≠0 ⇒ x≠ ,x≠
обозначим 0,5√5*x-1=a
общий знаменатель а(а-2)
,a²-5a+4=0 ,D=9 , a₁=1 ,a₂=4
,
методинтервалов + + + + +(0) - - - - [1]+ + + + (2)- - - - [4] + + + + +
0<a≤1 , a≥2.
0<0,5√5*x-1≤1 , 2<0,5√5*x-1≤4
1<0,5√5*x≤2 , 3<0,5√5*x-1≤5
,
учтем x≠
⇒
Ответ ( ;
] , (
;
] .
IUV:
подставьте например х=0 (принадлежит ответу) , получите -2+2/3 >= 2 - ложное выражение
теперь прийдется ждать вмешательства модератора чтобы отправил на исправление
Ответ дал:
3
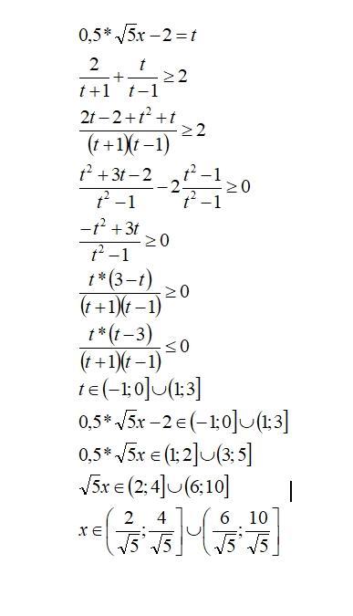
Ответ:
во вложении
Пошаговое объяснение:
Приложения:

Вас заинтересует
2 года назад
2 года назад
3 года назад
3 года назад
8 лет назад
8 лет назад
9 лет назад