• Предмет: Алгебра
  • Автор: mmmmmm57
  • Вопрос задан 8 лет назад

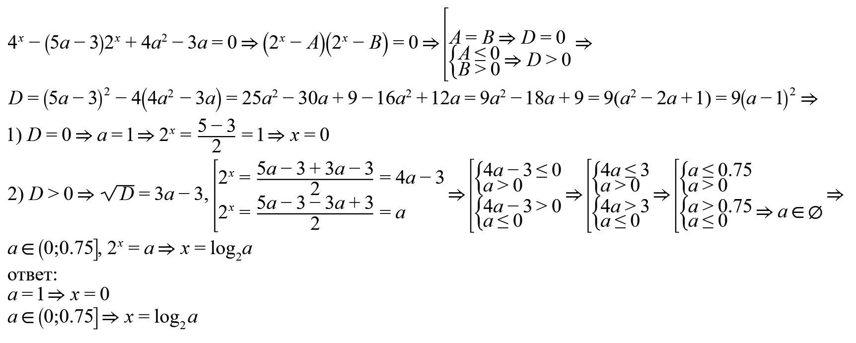
При каких значениях параметра а уравнение 4^х-(5а-3)×2^х+4а^2-3а=0 имеет единственное решение?
ПОМОГИТЕ СРОЧНО НУЖНО!!!!​

Ответы

Ответ дал: palilov243659
0

Ответ:

Объяснение:

.........................

Приложения:

antonovm: Неверно , единственное решение может быть не только , если D = 0 , но и когда уравнение относительно t ( t = 2^x) имеет корни противоположных знаков или парабола проходит через ноль , но при этом второй корень - положительный , там бесконечное множество значений параметра , а не одно
palilov243659: да без проблем
Вас заинтересует