• Предмет: Математика
  • Автор: mbumazek30
  • Вопрос задан 8 лет назад

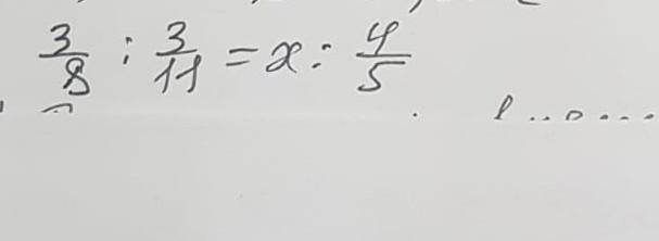
3/8÷3/11=x÷4/5 решите пожалуйста​

Приложения:

mmthe124: x = 11/10
Nastya171167: 3/8 : 3/11=x: 4/11
3/8*11/3=х:4/11
11/8=х:4/11
х=4/11*11/8
х=1/2
mbumazek30: спасибо
Nastya171167: простите немного ошиблась 3/8 : 3/11=x: 4/5
3/8*11/3=х:4/5
11/8=х:4/5
х=4/5*11/8
х=1 1/10
mbumazek30: спасибо огромное
Nastya171167: пожалуйста

Ответы

Ответ дал: TutorOnline
1

Ответ: х= 1 1/10

Пошаговое объяснение: решим методом пропорции.

Приложения:
Ответ дал: matilda17562
1

Ответ:

1 1/10.

Пошаговое объяснение:

Первый способ:

3/8 : 3/11 = x : 4/5

По основному свойству пропорции

3/11 • х = 3/8 • 4/5

х = (3/8 • 4/5) : 3/11

х = 3/8 • 4/5 • 11/3

х = (3•4•11)/(8•5•3)

х = (1•2•11)/(2•5•1)

х = 11/10

х = 1 1/10

Ответ: 1 1/10.

Если пропорции не изучены, можно решать по-другому:

3/8 : 3/11 = x : 4/5

3/8 • 11/3 = x : 4/5

11/8= x : 4/5

х = 4/5•11/8

х = 11/10

х = 1 1/10

Ответ: 1 1/10.

Вас заинтересует