• Предмет: Математика
  • Автор: dimd05945
  • Вопрос задан 8 лет назад

Помогите
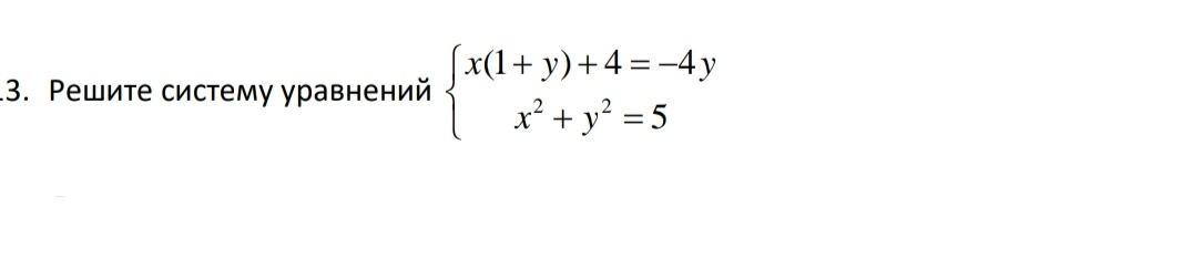
Решите систему уравнений

Приложения:

dimd05945: ?????
mic61: (2;-1) (-2;-1)

Ответы

Ответ дал: iosiffinikov
2

Ответ:

Два решения : (-2,-1) или (2,-1)

Пошаговое объяснение:

Первое уравнение  х(1+у)+4(у+1)=0 или (у+1)(х+4)=0

Возможны только решения х=-4 у-любое   или у=-1 х -любое.

Первый случай: х=-4

Тогда второе уравнение  16+у*у=5

у^2=-11  нет действительных решений.

Второй случай: у=-1  х^2=4  х=-2 или х=2.

Вас заинтересует