• Предмет: Алгебра
  • Автор: Geh28b3veuwu
  • Вопрос задан 8 лет назад

помогите пожалуйста............​

Приложения:

Ответы

Ответ дал: H1caru
1

Ответ:

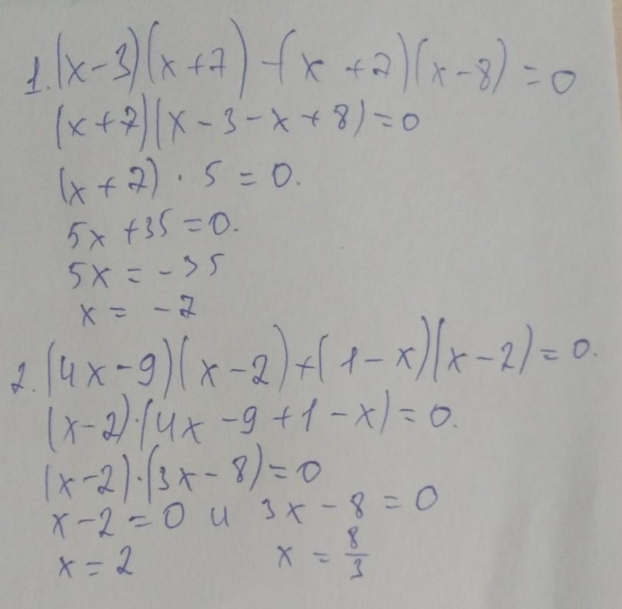
1) x = -7

2) x1 = 2, x2 = 8/3 (дробь, если что)

Ответ дал: jiminumapark1995
1

Ответ:

......................

Приложения:
Вас заинтересует