Ответы
Ответ дал:
0
Ответ:
Пошаговое объяснение:
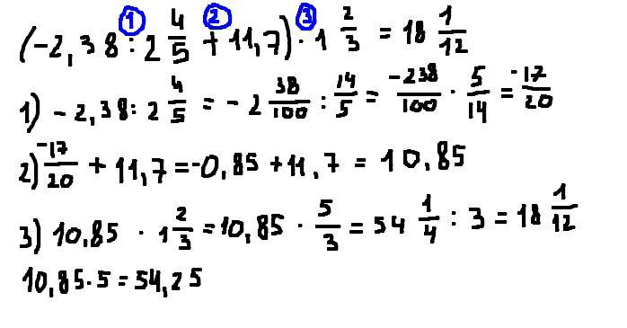
см рис
Приложения:

Вас заинтересует
2 года назад
2 года назад
3 года назад