• Предмет: Математика
  • Автор: germanplagg
  • Вопрос задан 8 лет назад

найдите значение выражения​

Приложения:

Ответы

Ответ дал: ludmilaksenija2005
0

Пошаговое объяснение:

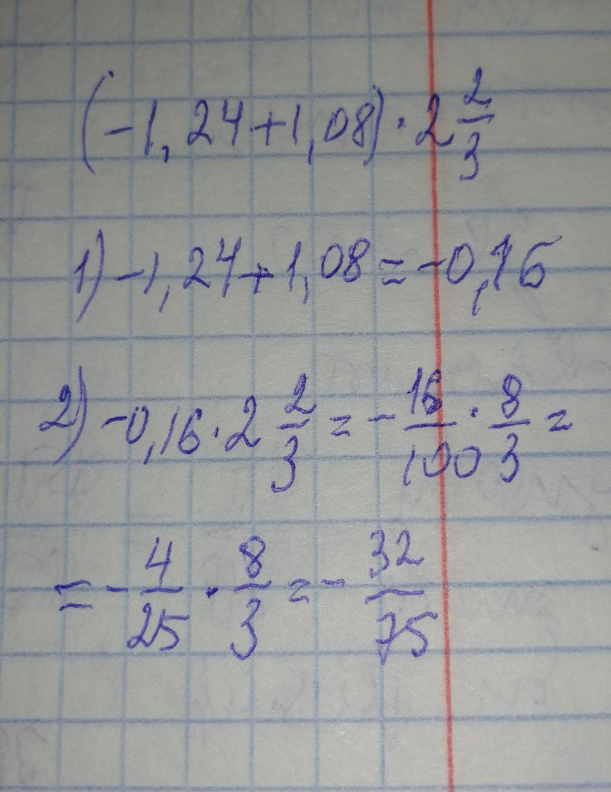
(-1,24+1,08)×2 2/3=

= - 0,16×8/3= - 4/25×8/3=

= - 32/75

Если по действиям:

1) - 1,24+1,08= - 0,16

2) - 0,16×2 2/3= - 16/100×8/3=

= - 4/25×8/3= - 32/75

Приложения:

germanplagg: Можно ответ на бумажке
germanplagg: Пожалуйста
germanplagg: попросил же
germanplagg: вы 1 час пишите?
ludmilaksenija2005: я другие решала
germanplagg: ты мне напиши на бумажке решение я эти палочки не понимаю
ludmilaksenija2005: палочки это дробь (горизонтально пиши как в условии
Ответ дал: karina200953
0

Ответ:

 =  - 6 \frac{14}{75}

Пошаговое объяснение:

если не праВильно я исправлю


germanplagg: а где решение?
Вас заинтересует