• Предмет: Алгебра
  • Автор: skip30550
  • Вопрос задан 8 лет назад

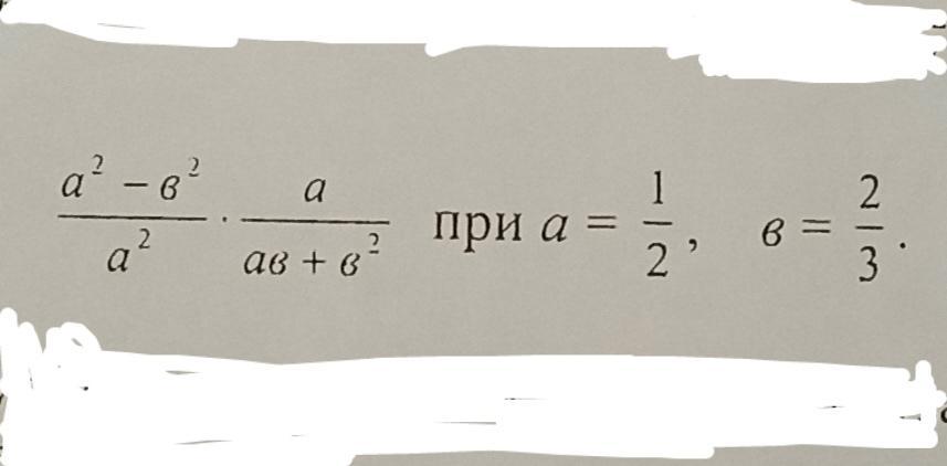
Как это решать? Помогите пожалуйста... 10 балов, решите уровнение
Алгебра 9 класс

Приложения:

Ответы

Ответ дал: kojaazamat040
0

Объяснение:

какой упражнени и книга какой


skip30550: Это задание с листочка
Ответ дал: predator7000
0

Ответ:

Сначала упрости выражение, а затем подставляй.

Объяснение:

И обязательно выучи формулы ФСУ (Формулы Сокращённого Умножения )

Вас заинтересует