• Предмет: Геометрия
  • Автор: 6mikrochelik9
  • Вопрос задан 8 лет назад

помогите пожалуйста ​
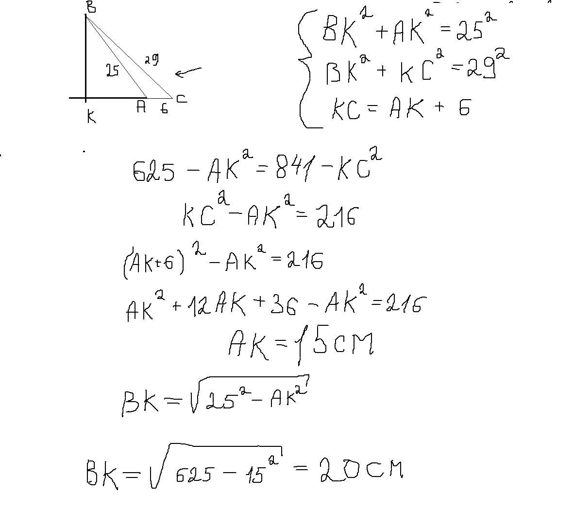
Дано: ∆ ABC
BC=29см; AB=25см; AC=6см
BK⊥AC
Найти: BK

Приложения:

Ответы

Ответ дал: ssroman72
1

Ответ:

условия задачи некорректны смотрите рисунок

Объяснение:

Приложения:

ssroman72: уточните условия и решите по теореме Пифагора
6mikrochelik9: спасибо
ssroman72: добавил решение для более точного треугольника
ssroman72: смотрите решение и ответ
6mikrochelik9: ооо, спасибо!
Вас заинтересует