• Предмет: Алгебра
  • Автор: Аноним
  • Вопрос задан 8 лет назад

помагите пожалуйста​

Приложения:

Ответы

Ответ дал: novruzbayov
1

Ответ:

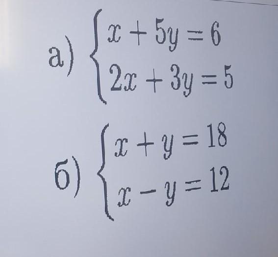
а)х=1, у=1 б)х=15, у=3

Объяснение:

а){х+5у=6. х=1. у=1

2х+3у=5

(2х+3у)-(х+5у)=5-6

2х+3у-х-5у=-1

х-2у=-1

х= -1+2у

х=2у-1

2у-1+5у=6

7у=6+1=7

у=1

2х+3*1=5

2х=5-3=2

х=1

б){х+у=18

Х-У=12

(х-у)+(х+у)=12+18

х-у+х+у=30

2х=30

х=15

15+у=18

у=18-15

у=3

х=15, у =3

Вас заинтересует