• Предмет: Алгебра
  • Автор: lovkach343
  • Вопрос задан 8 лет назад

Решить с пояснениями.80 Баллов

Приложения:

Ответы

Ответ дал: bb573878
1

Ответ:

Объяснение:

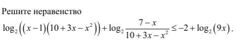
\displaystyle\\\log_2\Big((x-1)(10+3x-x^2)\Big)+\log_2\frac{7-x}{10+3x-x^2} \leq -2+\log_2(9x)

ODZ:

\left \{ {\big{(x-1)(10+3x-x^2)>0}\atop \big{\dfrac{7-x}{10+3x-x^2}>0 }} \atop \big{9x>0}} \right.\ \ \ \  \left \{ {\big{(x-1)(x^2-3x-10)<0}\atop \big{\dfrac{x-7}{x^2-3x-10}>0 }} \atop \big{x>0}} \right.\\\\\\\left \{ {\big{(x-1)(x+2)(x-5)<0}\atop \big{\dfrac{x-7}{(x+2)(x-5)}>0 }} \atop \big{x>0}} \right.\ \ \ \ \left \{ {\big{--(-2)++(1)---(5)++++}\atop \big{--(-2)++++++++(5)--(7)++}} \atop \big{----(0)+++++++++}} \right.

x\in(1;5)

\log_2\dfrac{(x-1)(10+3x-x^2)(7-x)}{9x(10+3x-x^2)} \leq -2\\\\\\\log_2\dfrac{(x-1)(7-x)}{9x} \leq \log_22^{-2}

основание 2>1, y=log₂x возраст, знак не меняем

\dfrac{(x-1)(7-x)}{9x} \leq \dfrac{1}{4} ;\dfrac{4(x-1)(7-x)-9x}{36x} \leq 0;\dfrac{4(7x-7-x^2+x)-9x}{36x}\leq 0\\\\\\ \dfrac{-4x^2+32x-28-9x}{36x}\leq 0 ;\dfrac{-4x^2+23x-28}{36x}\leq 0;\dfrac{4x^2-23x+28}{x}\geq  0

D=b^2-4ac=529-4*4*28=529-448=81

x_1=(23+9)/8=4;x_2=(23-9)/8=7/4\\\\---(0)+++[\frac{7}{4}]---[4]+++>x\\\\x\in(0;\frac{7}{4} ]\cup[4;+\infty)

учитывая ОДЗ, получаем ответ:    x\in\Big(1;\dfrac{7}{4}\Big]\cup\Big[4;5\Big)

Вас заинтересует