• Предмет: Алгебра
  • Автор: coconet007
  • Вопрос задан 10 лет назад

Упростите выражение и вычислите его значение^
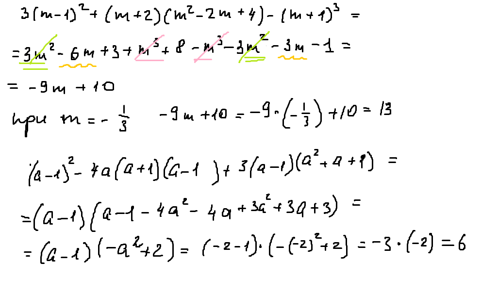
1) 3(m-1)^2+(m+2)(m^2-2m+4)-(m+1)^3 при m= - 1/3 
2) (a-1)^2-4a(a+1)(a-1)+3(a-1)(a^2+a+1) ghb a= -2

Ответы

Ответ дал: esmilya
0
решениеееееееееееееееее
Приложения:
Вас заинтересует