• Предмет: Алгебра
  • Автор: shmeldashka
  • Вопрос задан 10 лет назад

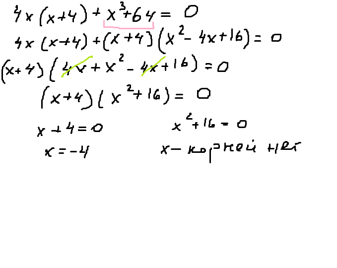
4x(x+4)+x^3+64=0 уравнения

Ответы

Ответ дал: esmilya
0
решениееееееееееееееее
Приложения:
Вас заинтересует