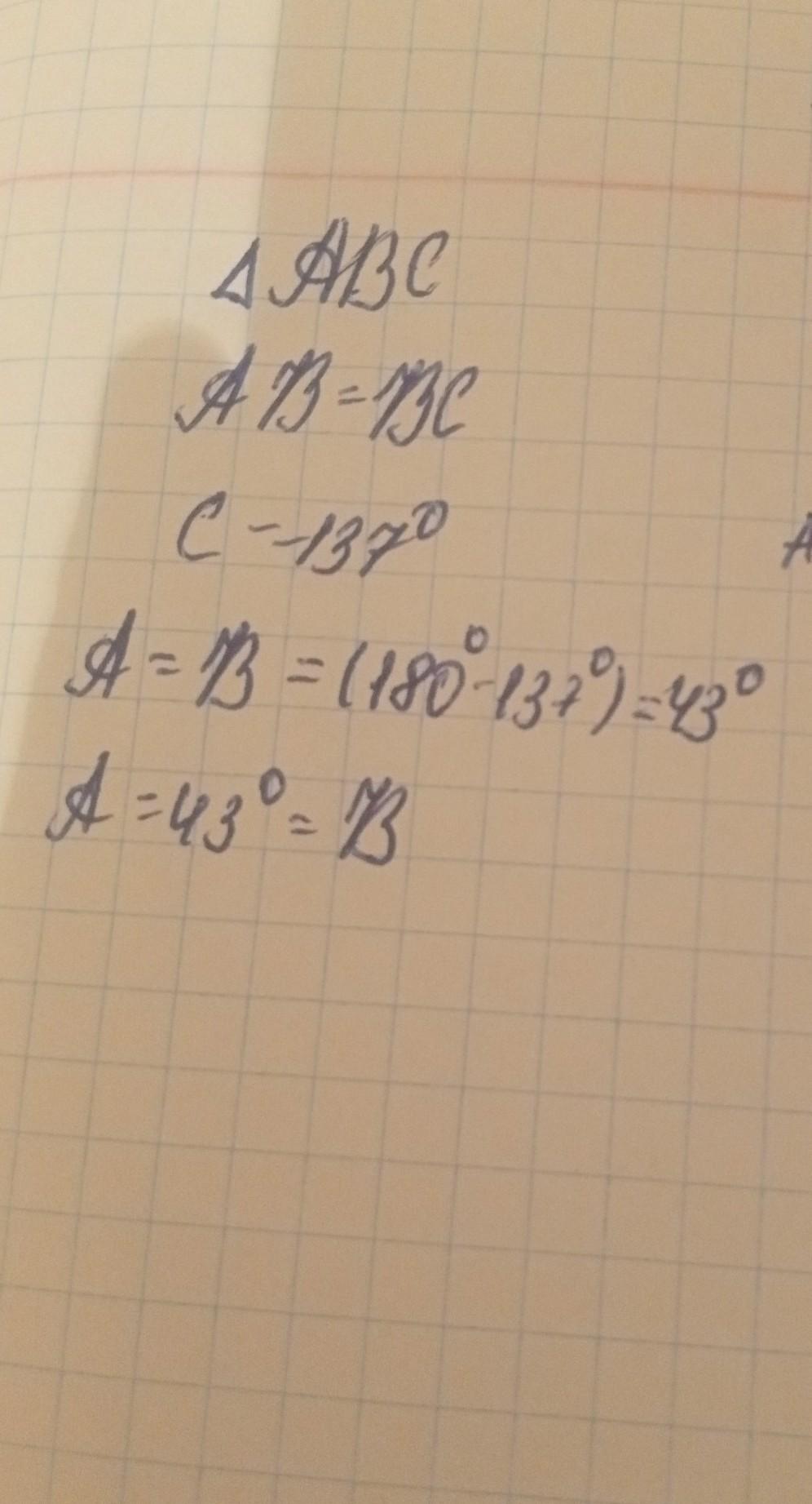
В треугольнике ABC AB=BC. Внешний угол при вершине С равен 137 градусов. Найдите угол B.Дайте ответ в градусах
Ответы
Ответ дал:
1
Ответ:
должно быть это так, надеюсь помагла
Приложения:

Ответ дал:
1
Ответ:43 43 94
Объяснение:
Угол С =180 -137=43 градуса так как они смежные
Угол А = углу С так как АВ =ВС => угол А = 43 градуса
А угол В =180- 43 × 2 =94 градуса
Вас заинтересует
2 года назад
2 года назад
3 года назад
3 года назад
8 лет назад
8 лет назад
9 лет назад