Ответы
Ответ дал:
0
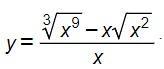
Ответ с объяснением :
Всё там по этапно расписано в краткости с ответом
Приложения:




Вас заинтересует
2 года назад
2 года назад
3 года назад
3 года назад
8 лет назад
9 лет назад