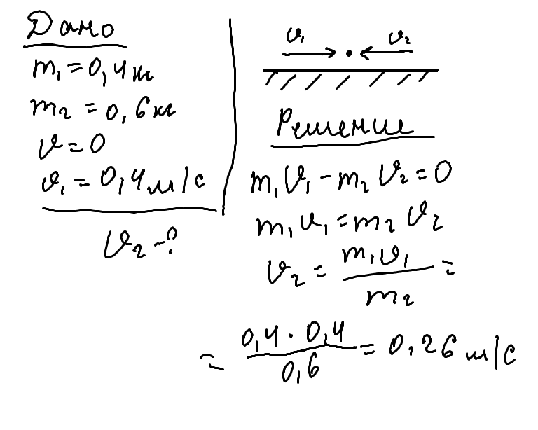
Помогите решить задачку по физике)) Две тележки массами 0,4 кг, и 0,6 кг двигались навстречу одна одной и после удара остановились. Найдите модуль скорости второй тележки непосредственно перед ударом, если первая до взаимодействия имела скорость, модуль которой 0,4 м/с?
Ответы
Ответ дал:
0
во вложении..........................
Приложения:

Вас заинтересует
2 года назад
2 года назад
8 лет назад
8 лет назад
10 лет назад
10 лет назад
10 лет назад