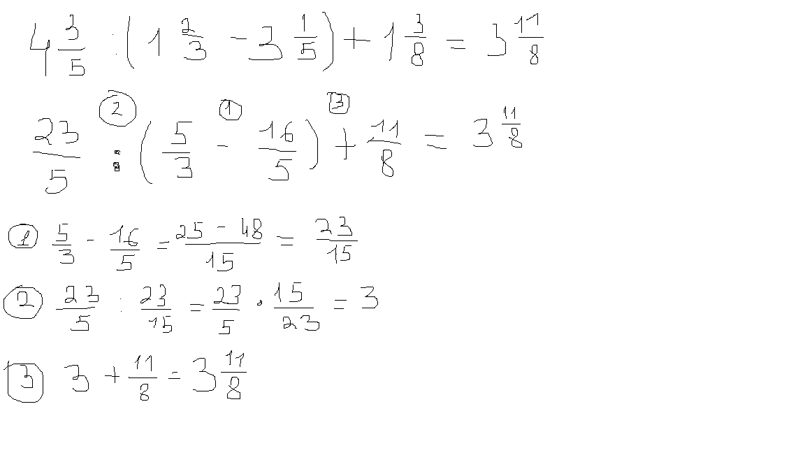
Вычислите:Четыре целых три пятых : на (одну целую две третьих - три целых одна пятая)+одна целая три восьмых
=?
Ответы
Ответ дал:
0
надеюсь, что так...
сделала по действием
сделала по действием
Приложения:
Вас заинтересует
3 года назад
3 года назад
8 лет назад
8 лет назад
11 лет назад
11 лет назад
11 лет назад