• Предмет: Алгебра
  • Автор: taismasl
  • Вопрос задан 8 лет назад

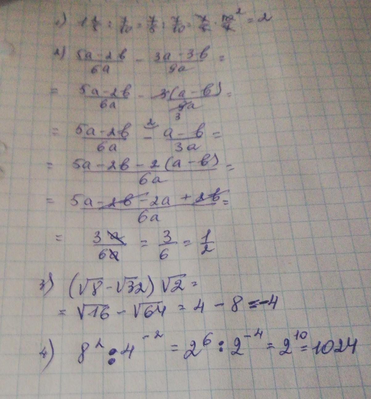
Установіть відповідність між поданими виразами

Приложения:

Ответы

Ответ дал: larisaserova53
1

Ответ:

Смотри решение на фото выше

Приложения:
Вас заинтересует