• Предмет: Алгебра
  • Автор: amaliyapuffistaya
  • Вопрос задан 8 лет назад

Во всех заданиях напишите подробное решение

Задание 1
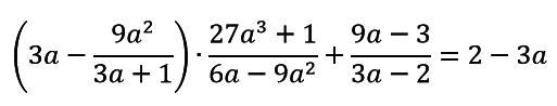
Докажите тождество:


Задание 2
Упростите выражение:

Приложения:

Ответы

Ответ дал: Universalka
2

1) \\3a-\dfrac{9a^{2} }{3a+1}=\dfrac{9a^{2}+3a-9a^{2} }{3a+1}=\dfrac{3a}{3a+1}\\\\\\\dfrac{3a}{3a+1}\cdot\dfrac{27a^{3}+1 }{6a-9a^{2} }=\dfrac{3a}{3a+1}\cdot\dfrac{(3a+1)(9a^{2} -3a+1)}{3a(2-3a)}=\dfrac{9a^{2} -3a+1}{2-3a} \\\\\\\dfrac{9a^{2} -3a+1}{2-3a} +\dfrac{9a-3}{3a-2}=\dfrac{9a^{2} -3a+1}{2-3a} -\dfrac{9a-3}{2-3a}=\\\\=\dfrac{9a^{2}-3a+1-9a+3 }{2-3a} =\dfrac{9a^{2}-12a+4 }{2-3a} =\dfrac{(2-3a)^{2} }{2-3a} =\boxed{2-3a}\\\\2-3a=2-3a

Что и требовалось доказать

2)\\\dfrac{2}{9-x^{2} }+\dfrac{1}{3x-9}-\dfrac{1}{x^{2}+3x }=\dfrac{2}{(3-x)(3+x)}+\dfrac{1}{3(x-3)} -\dfrac{1}{x(x+3)} =\\\\\\=\dfrac{2}{(3-x)(x+3)}-\dfrac{1}{3(3-x)} -\dfrac{1}{x(x+3)}=\dfrac{2\cdot3x-x(x+3)-3(3-x)}{3x(3-x)(x+3)}=\\\\\\\dfrac{6x-x^{2}-3x -9+3x}{3x(3-x)(x+3)}=\dfrac{-x^{2}+6x-9 }{3x(3-x)(x+3)} =-\dfrac{x^{2}-6x+9 }{3x(3-x)(x+3)}= \\\\\\=-\dfrac{(3-x)^{2} }{3x(3-x)(x+3)}= -\dfrac{3-x}{3x(x+3)}=\dfrac{x-3}{3x(x+3)}

\Big(\dfrac{3x+9}{x-3}\Big)^{2} \cdot\dfrac{x-3}{3x(x+3)}=\dfrac{9\cdot(x+3)^{2} }{(x-3)^{2} }\cdot \dfrac{x-3}{3x(x+3)}=\dfrac{3(x+3)}{x(x-3)}\\\\\\\dfrac{9x+27}{3x^{2}-x^{3}}+\dfrac{3(x+3)}{x(x-3)}=\dfrac{9x+27}{x^{2}(3-x)}+\dfrac{3(x+3)}{x(x-3)}=\dfrac{9x+27}{x^{2}(3-x)}-\dfrac{3(x+3)}{x(3-x)}=\\\\\\=\dfrac{9x+27-3x^{2} -9x}{x^{2}(3-x) } =\dfrac{27-3x^{2} }{x^{2}(3-x) }=\dfrac{3(9-x^{2}) }{x^{2}(3-x) }=\dfrac{3(3-x)(x+3)}{x^{2}(3-x) } =\\\\\\=\boxed{\dfrac{3x+9}{x^{2} } }

Вас заинтересует